Development of Nano-ITLA for optical digital coherent communications by expanding wavelength range in the Super C-band and L-band
- Contributing to the realization of ultra-high speed transmission systems for medium to long-range optical communication networks by extending the bandwidth -

February 24, 2023

  • Support the super C-band and L-band by extending the range of the ultra-small, narrow linewidth tunable light source (Nano-ITLA)
  • Increase the number of usable channels by extending the bandwidth, and establish medium to long-range optical communications infrastructure
  • Contribute to the provision of Post-5G service, which involves larger data loads than 5G

Furukawa Electric Co., Ltd. (Head office: 2-6-4 Otemachi, Chiyoda-ku, Tokyo; President: Keiichi Kobayashi) has expanded the product lineup with the development of a new ultra-small, narrow linewidth tunable light source that supports the super C-band and L-band in addition to the current C-band. A tunable light source is a laser light source product that is used in digital coherent communications (Nano-ITLA, Fig. 1).

Background

Due in part to increased smartphone use, cloud computing and video streaming in recent years, data traffic on the mainline communications networks and between data centers is growing around the world, and with the advent of 5G, this traffic is expected to dramatically increase even further. In order to support this increased data traffic, ultra-high speed transmission systems using optical digital coherent technology are being installed. Going forward, it is expected that Post-5G service will be introduced, and since Post-5G requires greatly larger volumes of data than 5G, it will be necessary to increase the capacity of the medium to long-range optical communications networks. However, as transmission speed increases, the required bandwidth per channel exceeds the current 50GHz span. Since this trend will reduce the number of available channels, consideration is underway toward expanding the overall bandwidth.

Details

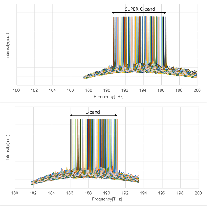
Utilizing Furukawa’s laser manufacturing technology accumulated over the past 20 years, including crystal growth and precision optical semiconductor processing, we optimized the waveguide design, and it was possible to extend the bandwidth of the Nano-ITLA. In addition to the current C-band: 191.300-196.100THz (4.8THz width), the newly developed Nano-ITLA supports the super C-band: 190.675-196.675THz (6THz width) and also the L-band: 186.350-190.700THz (4.35THz width) (Fig. 2 & Table 1). This development will contribute to the realization of ultra-high speed transmission systems for medium to long-range optical communications networks.

Fig. 1 Nano-ITLA

Fig. 2 Spectral characteristics of the super C-band and L-band

Table 1 Comparison with the existing product
  Existing product
(C-band)
Newly developed product
(Super C-band)
Newly developed product
(L-band)
Frequency range (THz) 191.300 - 196.100 190.675 - 196.675 186.350 - 190.700
Optical output strength (dBm) 17 17 16
Linewidth (kHz) <150
Wavelength stability (GHz) <±1.5
Power consumption (W) 3.7
Dimensions (mm) 25(L)×15.6(W)×5.7(H)

We will exhibit this new product at OFS 2023 scheduled to be held on March 7-9, 2023 in San Diego (OFS Fitel, LLC booth; Booth number 3229).

Related news releases

Furukawa Electric Group’s efforts towards the SDGs

Based on the “Sustainable Development Goals (SDGs)” adopted by the United Nations, Furukawa Electric Group has formulated the “Furukawa Electric Group Vision 2030” which sets the year 2030 as its target and is advancing efforts with the aim to “Build a sustainable world and make people’s life safe, peaceful and rewarding, Furukawa Electric Group will create solutions for the new generation of global infrastructure combining information, energy and mobility.” Toward the achievement of our Vision 2030, we will take open, agile, and innovative approaches to promote ESG management that aims to increase corporate value over the medium to long term and will contribute to the achievement of the SDGs.