光デジタルコヒーレント通信向けNano-ITLAの帯域拡張でSuper C-band、L-bandに対応
~ 広帯域化により中長距離光通信網の超高速伝送システム実現に貢献 ~

2023年2月24日

  • 超小型狭線幅波長可変光源Nano-ITLAの帯域拡張でSuper C-bandとL-bandに対応
  • 広帯域化により伝送可能なチャンネル数を拡大し、中長距離の光通信インフラを構築
  • 5Gと比較して膨大なデータ量が必要とされるポスト5G世代のサービス提供に貢献

古河電気工業株式会社(本社:東京都千代田区大手町2丁目6番4号、代表取締役社長:小林敬一)は、光デジタルコヒーレント通信に用いられるレーザ光源製品である超小型狭線幅波長可変光源(Nano-ITLA、図1)について、従来のC-bandからの帯域拡張として、新たにSuper C-bandとL-band用途を開発し、ラインナップを拡充しました。

背景

近年、スマートフォンやクラウドコンピューティング、動画配信の普及などにより、通信基幹網およびデータセンタ間での通信トラフィックが世界的に増加しており、5G時代を迎え、更に急激な増加が予測されています。このような通信トラフィックの増加に対応するため、光デジタルコヒーレント方式による超高速伝送システムの導入が進められています。今後、5Gと比較して膨大なデータ量が必要とされるポスト5G世代のサービスの導入が期待されており、中長距離光通信網の伝送容量の増大は必要不可欠です。しかしながら、高速化にともないチャンネル当たりに必要な帯域が従来の50GHz間隔から増大し、伝送可能なチャンネル数が減少してしまうため、全体の帯域を広げることが検討されています。

内容

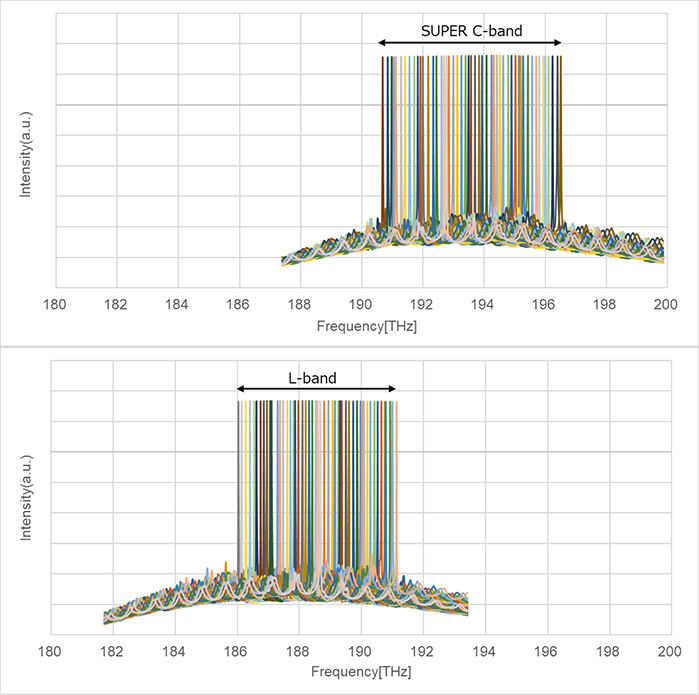
当社が20年以上培ってきた結晶成長や精密光半導体加工といったレーザ製造技術により、導波路設計の最適化を行い、Nano-ITLAの広帯域化を実現しました。従来のC-band:191.300~196.100THz(4.8THz幅)に加えて、Super C-band:190.675~196.675THz(6THz幅)、さらにL-band:186.350~190.700THz(4.35THz幅)にも対応可能で(図2、表1)、これにより、中長距離光通信網における超高速伝送システムの実現に貢献します。

図1 Nano-ITLA

図2 Super C-bandとL-bandのスペクトル特性

表1 従来品との仕様比較
  従来製品
(C-band)
当社開発品
(Super C-band)
当社開発品
(L-band)
周波数幅(THz) 191.300~196.100 190.675~196.675 186.350~190.700
光出力(dBm) 17 17 16
線幅(kHz) <150
波長安定性(GHz) <±1.5
消費電力(W) 3.7
サイズ(mm) 25(L)×15.6(W)×5.7(H)

なお、2023年3月7日~9日に米国サンディエゴで開催される「OFC 2023」で本製品を展示(OFS Fitel, LLCブース内・ブース番号3229)します。


関連ニュースリリース

古河電工グループのSDGsへの取り組み

当社グループは、国連で採択された「持続可能な開発目標(SDGs)」を念頭に置き、2030年をターゲットとした「古河電工グループ ビジョン2030」を策定して、「地球環境を守り、安全・安心・快適な生活を実現するため、情報/エネルギー/モビリティが融合した社会基盤を創る。」に向けた取り組みを進めています。ビジョン2030の達成に向けて、中長期的な企業価値向上を目指すESG経営をOpen,Agile,Innovativeに推進し、SDGsの達成に貢献します。

ニュースリリースに記載されている情報は、発表日現在のものです。仕様、価格、サービス内容などの情報は予告無しに変更される場合があります。あらかじめご了承ください。